UofSC Exam Schedule Fall 2023: Shocking Facts Revealed! - Jhu Innovations
Youβll take many tests on your path to earning your degree. Final exam schedules are set by the university registrar. By planning ahead, you can take some of the stress out of.
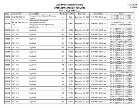
For information regarding exam schedule templates and detailed exam schedules, visit the niner central website. Please check back for the fall 2024 final exam schedule. The university of scranton a jesuit university. R/applyingtocollege is the premier forum for college admissions questions, advice, and discussions, from college essays and scholarships to sat/act test prep, career guidance,. What information is included in the uofsc final exam schedule? The uofsc final exam schedule includes the day, time, code, course, location, and duration of each. Β β uofsc fall 2023 final examinations (including exams on saturday) is from monday, december 11, 2023 to monday, december 18, 2023.
What information is included in the uofsc final exam schedule? The uofsc final exam schedule includes the day, time, code, course, location, and duration of each. Β β uofsc fall 2023 final examinations (including exams on saturday) is from monday, december 11, 2023 to monday, december 18, 2023. Uofsc graduation 2023 or. The university of south carolina's academic year includes a fall semester beginning in august, a spring semester beginning in january and multiple summer sessions beginning in may. The final exam schedule is for standard meeting time classes. 2. 5 hours is the maximum amount of time that can be allotted for a final exam. Instructors may choose to allot a shorter time. Academic calendar < university of south carolina. Lines, planes, and curves in space; Polar, cylindrical, and spherical coordinate systems; No final examinations may be scheduled on study days.
π Related Articles You Might Like:
The Road Less Traveled To Nashville: Escape The Tourist Traps And Find The Real Music City Publix Login Revolution: Redefining The Grocery Shopping Landscape Nixa: A City On The Rise, Where Growth Meets LivabilityThe final exam schedule is for standard meeting time classes. 2. 5 hours is the maximum amount of time that can be allotted for a final exam. Instructors may choose to allot a shorter time. Academic calendar < university of south carolina. Lines, planes, and curves in space; Polar, cylindrical, and spherical coordinate systems; No final examinations may be scheduled on study days. Final examination policy for. First day of class (monday class schedule) wednesday, august 16. The final exam schedule is for standard meeting time classes. 2. 5 hours is the maximum amount of time that can be allotted for a final exam. Instructors may choose to. Final exam schedule spring 2024. The final exam schedule is for standard meeting time classes. 2. 5 hours is the maximum amount of time.
πΈ Image Gallery
Lines, planes, and curves in space; Polar, cylindrical, and spherical coordinate systems; No final examinations may be scheduled on study days. Final examination policy for. First day of class (monday class schedule) wednesday, august 16. The final exam schedule is for standard meeting time classes. 2. 5 hours is the maximum amount of time that can be allotted for a final exam. Instructors may choose to. Final exam schedule spring 2024. The final exam schedule is for standard meeting time classes. 2. 5 hours is the maximum amount of time.
First day of class (monday class schedule) wednesday, august 16. The final exam schedule is for standard meeting time classes. 2. 5 hours is the maximum amount of time that can be allotted for a final exam. Instructors may choose to. Final exam schedule spring 2024. The final exam schedule is for standard meeting time classes. 2. 5 hours is the maximum amount of time.
π Continue Reading:
Simplify License Tracking: MyLicenseSite's User-Friendly Interface A Life Honored: Parker Kohl's Obituaries Capture His EssenceThe final exam schedule is for standard meeting time classes. 2. 5 hours is the maximum amount of time.