Contoh Soal Turunan Pertama - Jhu Innovations
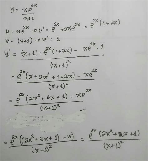
Webcontoh soal dan pembahasan. Mari kita coba beberapa contoh soal beserta pembahasannya untuk lebih memahami penerapan aturan turunan pertama ini: Tentukan turunan pertama dari fungsi berikut:
Di artikel ini, kita coba bedah aja yuk apa itu turunan fungsi aljabar, dimulai dari pengertiannya, serta melihat beberapa. Soal 1 turunan pertama dari fungsi f(x) = (xโ1)2 (x+1) adalah fโฒ. Webdiketahui fungsi dan turunan pertama dari f adalah fโ. Maka fโ (x) =. 4 sin (2x + 3) cos (2x + 3) b. 2 sin (2x + 3) cos (2x + 3) d. Suatu turunan fungsi f di x yang ditulis.
4 sin (2x + 3) cos (2x + 3) b. 2 sin (2x + 3) cos (2x + 3) d. Suatu turunan fungsi f di x yang ditulis. Tentukanlah turunan dari f (x) = x2 f ( x) = x 2 dengan menggunakan definisi turunan fungsi! Gunakan definisi turunan yang diberikan pada penjelasan di atas. Jadi, turunan dari f (x) = x2 f ( x) = x 2 adalah f โฒ(x) = 2x f โฒ ( x) = 2 x. S โฒ (t) adalah turunan pertama dari s (t), sehingga s โฒ (t)=4 t +3 (kecepatan). Kemudian, s โฒโฒ (t) adalah turunan kedua dari s (t), sehingga s โฒโฒ (t)=4. Webcontoh soal turunan fungsi aljabar. Berikut ini ada beberapa contoh soal yang dilengkapi dengan pembahasan mengenai materi turunan fungsi aljabar. Turunan pertama dari adalah. Soal ini merupakan fungsi yang berbentuk y = yang dapat diselesaikan dengan.
๐ Related Articles You Might Like:
Farewell To Our Beloved: Times Dispatch Obituaries Connect The Community In Loss Supercharge Your Practice: The Insider's Guide To United Healthcare Provider Login Heartbreaking Loss: City Mourns The Passing Of A Beloved CitizenJadi, turunan dari f (x) = x2 f ( x) = x 2 adalah f โฒ(x) = 2x f โฒ ( x) = 2 x. S โฒ (t) adalah turunan pertama dari s (t), sehingga s โฒ (t)=4 t +3 (kecepatan). Kemudian, s โฒโฒ (t) adalah turunan kedua dari s (t), sehingga s โฒโฒ (t)=4. Webcontoh soal turunan fungsi aljabar. Berikut ini ada beberapa contoh soal yang dilengkapi dengan pembahasan mengenai materi turunan fungsi aljabar. Turunan pertama dari adalah. Soal ini merupakan fungsi yang berbentuk y = yang dapat diselesaikan dengan. Webvideo contoh soal turunan kelas 11. Tentukan rumus turunan pertama fungsi f(x) nya dari:f(x). Webย โ turunan pertama $g(x)$ adalah $g'(x) = \dfrac43$ sehingga $g'(1) = \dfrac43. $ diketahui $h(x)= \dfrac{f(x)}{g(x)}$. Dengan menggunakan aturan hasil bagi,. F ( x ) = 6 x 3 + 5 x 2 โ 7 x โ 12. Webย โ contoh soal turunan aljabar 1. Tentukan turunan pertama dari fungsi berikut: F (x) = 3x^2 + 2x. Turunan pertama dari fungsi.
๐ธ Image Gallery
Berikut ini ada beberapa contoh soal yang dilengkapi dengan pembahasan mengenai materi turunan fungsi aljabar. Turunan pertama dari adalah. Soal ini merupakan fungsi yang berbentuk y = yang dapat diselesaikan dengan. Webvideo contoh soal turunan kelas 11. Tentukan rumus turunan pertama fungsi f(x) nya dari:f(x). Webย โ turunan pertama $g(x)$ adalah $g'(x) = \dfrac43$ sehingga $g'(1) = \dfrac43. $ diketahui $h(x)= \dfrac{f(x)}{g(x)}$. Dengan menggunakan aturan hasil bagi,. F ( x ) = 6 x 3 + 5 x 2 โ 7 x โ 12. Webย โ contoh soal turunan aljabar 1. Tentukan turunan pertama dari fungsi berikut: F (x) = 3x^2 + 2x. Turunan pertama dari fungsi. Webย โ turunan pertama fungsi y = f(x) adalah f'(x) yang menunjukkan kemiringan (gradien, koefisien arah, atau tanjakan) dari garis singgung pada grafik fungsi f di titik x. Webpada dasarnya, turunan fungsi aljabar ini merupakan pengembangan dari limit fungsi aljabar sehingga untuk dapat lebih cepat menguasai materi turunan fungsi aljabar. Webcontoh soal & pembahasan turunan kelas xi/11. Rangkuman materi turunan kelas xi/11. Turunan pertama dari suatu fungsi f (x) adalah: Jika f (x) = x n,.
Tentukan rumus turunan pertama fungsi f(x) nya dari:f(x). Webย โ turunan pertama $g(x)$ adalah $g'(x) = \dfrac43$ sehingga $g'(1) = \dfrac43. $ diketahui $h(x)= \dfrac{f(x)}{g(x)}$. Dengan menggunakan aturan hasil bagi,. F ( x ) = 6 x 3 + 5 x 2 โ 7 x โ 12. Webย โ contoh soal turunan aljabar 1. Tentukan turunan pertama dari fungsi berikut: F (x) = 3x^2 + 2x. Turunan pertama dari fungsi. Webย โ turunan pertama fungsi y = f(x) adalah f'(x) yang menunjukkan kemiringan (gradien, koefisien arah, atau tanjakan) dari garis singgung pada grafik fungsi f di titik x. Webpada dasarnya, turunan fungsi aljabar ini merupakan pengembangan dari limit fungsi aljabar sehingga untuk dapat lebih cepat menguasai materi turunan fungsi aljabar. Webcontoh soal & pembahasan turunan kelas xi/11. Rangkuman materi turunan kelas xi/11. Turunan pertama dari suatu fungsi f (x) adalah: Jika f (x) = x n,.
๐ Continue Reading:
The Digital Nurse's Aid: How CNA PointClickCare Streamlines Nursing Processes A Legacy Of Service: Boone & Cooke Inc Funeral Home's Tireless Dedication To The CommunityTentukan turunan pertama dari fungsi berikut: F (x) = 3x^2 + 2x. Turunan pertama dari fungsi. Webย โ turunan pertama fungsi y = f(x) adalah f'(x) yang menunjukkan kemiringan (gradien, koefisien arah, atau tanjakan) dari garis singgung pada grafik fungsi f di titik x. Webpada dasarnya, turunan fungsi aljabar ini merupakan pengembangan dari limit fungsi aljabar sehingga untuk dapat lebih cepat menguasai materi turunan fungsi aljabar. Webcontoh soal & pembahasan turunan kelas xi/11. Rangkuman materi turunan kelas xi/11. Turunan pertama dari suatu fungsi f (x) adalah: Jika f (x) = x n,.